[This article was first published on Recology, and kindly contributed to R-bloggers]. (You can report issue about the content on this page here)
Want to share your content on R-bloggers? click here if you have a blog, or here if you don't.
A recent survey reported in Science (“Defeating Creationism in the Courtroom, but not in the Classroom”), suggests that high school teachers are not teaching evolution to the fullest extent, say, that grammar is being taught in the English classroom. According to survey, biology teachers in high school do not often accept the basis of their discipline, as do teachers in probably all other disciplines (languages, math, etc.). Read more here: New York Times.Want to share your content on R-bloggers? click here if you have a blog, or here if you don't.
I took a little time to play with the data provided online along with the Science article. The data is available on the Science website along with the article, and the dataset I read into R is unchanged from the original. The states abbreviations file is here (as a .xls). Here goes:
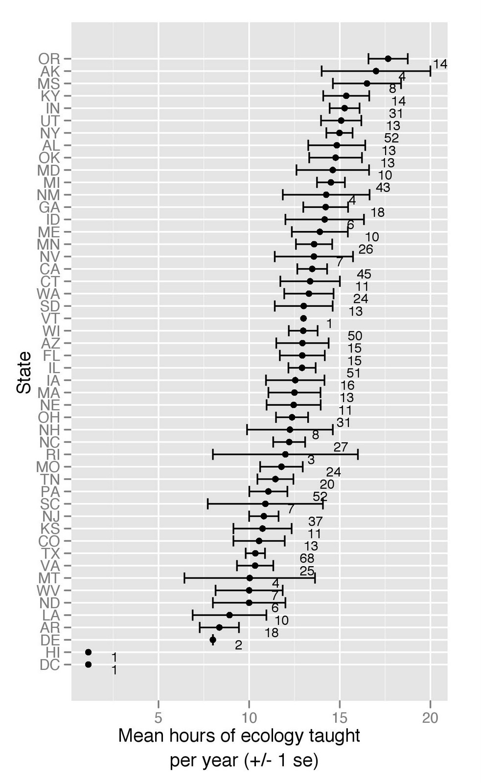
I only played with two survey questions: q1b (no. of hours ecology is taught per year), and q1d (no. of hours evolution is taught per year). It seems that some states that teach a lot of ecology teach a lot of evolution, but I found no correlation between the two without extreme outliers. I couldn’t help but notice my home state, TX, is near the bottom of the list on both counts – go TX! The teaching of evolution on the map produced below is less predictable than I would have though just based on my assumptions about political will in each state.
# Analyses of Conditionality Data set of all variables, except for latitude, etc.
setwd("/Mac/R_stuff/Blog_etc/EvolutionTeaching/") # Set working directory
library(ggplot2)
# read in data, and prepare new columns
survey <- read.csv("berkmandata.csv")
str(survey) # (apologies, I do realize that survey is a data object in the MASS package)
# Assign actual hours to survey answers
ecol <- gsub(1, 0, survey$q1b)
ecol <- gsub(2, 1.5, ecol)
ecol <- gsub(3, 4, ecol)
ecol <- gsub(4, 8, ecol)
ecol <- gsub(5, 13, ecol)
ecol <- gsub(6, 18, ecol)
ecol <- gsub(7, 20, ecol)
evol <- gsub(1, 0, survey$q1d)
evol <- gsub(2, 1.5, evol)
evol <- gsub(3, 4, evol)
evol <- gsub(4, 8, evol)
evol <- gsub(5, 13, evol)
evol <- gsub(6, 18, evol)
evol <- gsub(7, 20, evol)
survey$ecol <- as.numeric(ecol)
survey$evol <- as.numeric(evol)
# ddply it
survey_sum <- ddply(survey, .(st_posta), summarise,
mean_ecol_hrs = mean(ecol, na.rm=T),
mean_evol_hrs = mean(evol, na.rm=T),
se_ecol_hrs = sd(ecol, na.rm=T)/sqrt(length(ecol)),
se_evol_hrs = sd(evol, na.rm=T)/sqrt(length(evol)),
num_teachers = length(st_posta)
)
# plotting
limits_ecol <- aes(ymax = mean_ecol_hrs + se_ecol_hrs, ymin = mean_ecol_hrs - se_ecol_hrs)
limits_evol <- aes(ymax = mean_evol_hrs + se_evol_hrs, ymin = mean_evol_hrs - se_evol_hrs)
ggplot(survey_sum, aes(x = reorder(st_posta, mean_ecol_hrs), y = mean_ecol_hrs)) +
geom_point() +
geom_errorbar(limits_ecol) +
geom_text(aes(label = num_teachers), vjust = 1, hjust = -3, size = 3) +
coord_flip() +
labs(x = "State", y = "Mean hours of ecology taught n per year (+/- 1 se)")
ggplot(survey_sum, aes(x = reorder(st_posta, mean_evol_hrs), y = mean_evol_hrs)) +
geom_point() +
geom_errorbar(limits_evol) +
geom_text(aes(label = num_teachers), vjust = 1, hjust = -3, size = 3) +
coord_flip() +
labs(x = "State", y = "Mean hours of evolution taught n per year (+/- 1 se)")
# map
try_require("maps")
states <- map_data("state")
statenames <- read.csv("/Mac/R_stuff/Code/states_abbreviations.csv")
survey_sum_ <- merge(survey_sum, statenames, by.x = "st_posta", by.y = "state_abbrev")
survey_sum_map <- merge(states, survey_sum_, by.x = "region", by.y = "state")
survey_sum_map <- survey_sum_map[order(survey_sum_map$order), ]
qplot(long, lat, data = survey_sum_map, group = group, fill = mean_ecol_hrs, geom = "polygon")
qplot(long, lat, data = survey_sum_map, group = group, fill = mean_evol_hrs, geom = "polygon")
To leave a comment for the author, please follow the link and comment on their blog: Recology.
R-bloggers.com offers daily e-mail updates about R news and tutorials about learning R and many other topics. Click here if you're looking to post or find an R/data-science job.
Want to share your content on R-bloggers? click here if you have a blog, or here if you don't.
